Лазерный метод обнаружения утечек из нефтепроводов - page 9

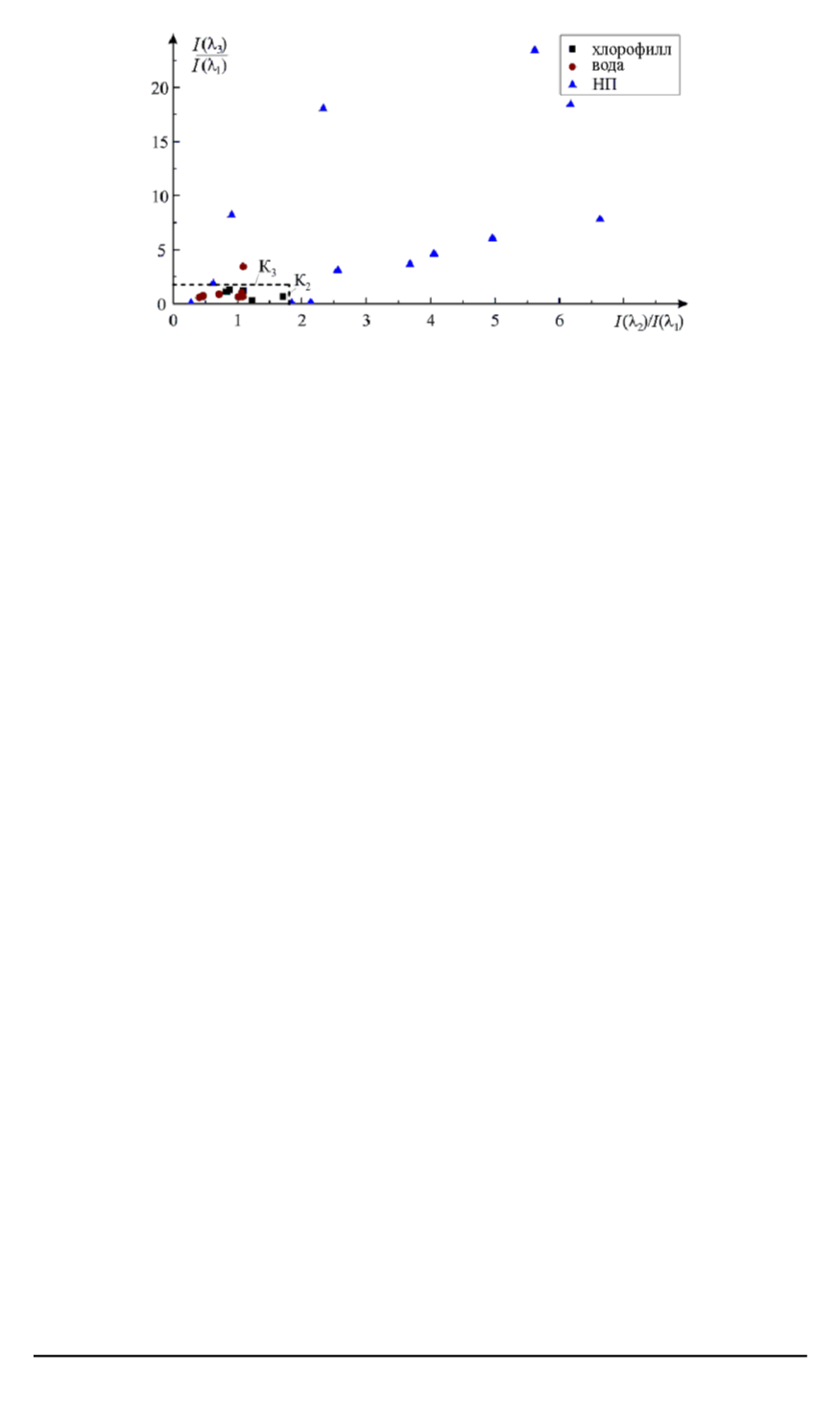
Рис. 8. Результаты верификация разработанного метода (НП — нефтепродукты)
— воды (модельная проба воды [13], бидистиллированная вода [14],
дистиллированная вода [15, 16], медицинская вода [14], вода, очищен-
ная на установке Милли-Q [14]);
— нефтепродуктов (Каспийская нефть [15], Ливийская нефть [17],
керосин [17], машинное масло [18], бензин [15, 19] дизельное топливо
[17, 20]).
Данные вещества в пространстве выбранных классифицирующих
признаков приведены на рис. 8.
В результате математического моделирования (для описанного
двухэтапного алгоритма обнаружения нефтепродуктов) выявили, что
вероятность правильного обнаружения (для всех указанных нефтепро-
дуктов [15–20]) составляет 92,3%, а вероятность ложных тревог (для
всех указанных типов воды и хлорофилла [11–16]) — 7,1%. Этот ре-
зультат можно признать вполне удовлетворительным, учитывая очень
немногочисленный и очень разнородный объем данных, по которому
проводилась верификация.
Таким образом, результаты экспериментальных исследований и
математического моделирования показывают, что лазерный дистан-
ционный метод обнаружения нефтяных загрязнений на земной по-
верхности, основанный на регистрации флуоресцентного излучения в
трех узких спектральных диапазонах, позволяет надежно обнаружи-
вать нефтяные загрязнения с вероятностью правильного обнаружения,
близкой к единице, при небольшой вероятности ложных тревог. Это
позволяет рассматривать его как один их перспективных вариантов
системы обнаружение утечек из нефтепроводов.
ЛИТЕРАТУРА
1.
Патин С.А.
Нефть и экология континентального шельфа. М.: ВНИРО, 2001.
2.
Другов Ю.С.
,
Родин А.А.
Экологические анализы при разливах нефти и нефте-
продуктов. М.: БИНОМ. Лаборатория знаний, 2007.
116 ISSN 0236-3933. Вестник МГТУ им. Н.Э. Баумана. Сер. “Приборостроение”. 2013. № 3
1,2,3,4,5,6,7,8 10,11,12
Powered by FlippingBook