Некоторые вопросы построения твердотельных лазеров с продольной диодной накачкой - page 7

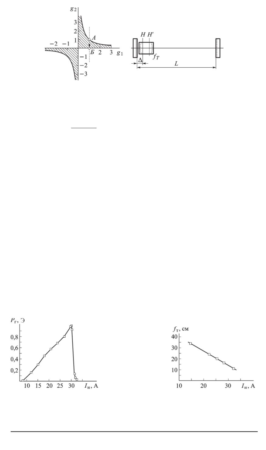
Рис. 5. Схема и
g
-диаграмма резонатора с тепловой линзой активного элемента
зеркалом эквивалентно вогнутому сферическому зеркалу с радиусом
кривизны
R
э
f
2
T
f
T
Δ
. Но так как расстояние
Δ
от плоского зер-
кала до главной плоскости тепловой линзы
H
составляет несколько
миллиметров (
Δ
f
Т
)
, то можно считать, что
R
э
f
T
.
При увеличении мощности излучения накачки и мощности тепло-
выделения уменьшается
f
T
и точка на
g
-диаграмме, соответствующая
новым конфигурациям резонатора, перемещается к точке
Б
, находя-
щейся на границе области устойчивости. В этой точке
f
Т
R
э
L
.
При дальнейшем уменьшении
f
T
резонатор переходит в область боль-
ших дифракционных потерь с резким падением мощности генериру-
емого излучения
Р
г
. На рис. 6 приведена характерная зависимость
Р
г
от тока накачки
I
н
для лазера с активной средой АИГ:Nd и резонато-
ром, образованным плоскими зеркалами и геометрической длиной
L
,
примерно равной 11,5 см. Для построения зависимости
f
Т
от
I
н
усили-
тельного модуля с заданным набором оптико-геометрических параме-
тров составляющих его элементов, проводятся аналогичные измере-
ния с разными значениями
L
. Такая зависимость приведена на рис. 7.
Погрешность измерения
f
Т
данным способом не превышает 10% [4].
Другая важная характеристика усилительного модуля — термона-
веденное двулучепреломление в активном элементе, приводящее к де-
Рис. 6.
Энергетическая
характеристика лазера с
резонатором, образованным
плоскими зеркалами
Рис. 7. Фокусное расстоя-
ние тепловой линзы ак-
тивного элемента при про-
дольной накачке
18 ISSN 0236-3933. Вестник МГТУ им. Н.Э. Баумана. Сер. “Приборостроение”. 2009. № 4
1,2,3,4,5,6 8,9,10,11,12
Powered by FlippingBook