Диагностика сбоев в электронной аппаратуре - page 21

Описанные фрагменты оптического контроля с использованием
кодо-импульсной модуляции сигналов были использованы, помимо
упомянутых устройств, для контроля работы передающей телевизи-
онной камеры [20] и при разработке способов оптического контроля
обрыва кварцевой стеклонити в процессе ее выработки [21], a также
при оптическом контроле печатных плат [24].
Для контроля сбоев печатных плат ключевой задачей является по-
вышение чувствительности (“разрядности”) кодо-импульсного моду-
лятора. В качестве примера повышения чувствительности при кодо-
импульсной модуляции сигналов рассмотрим случай построения мо-
дулятора с экспоненциальной функцией изменения освещенности кон-
тролируемой поверхности с показателем экспоненты
β
1
. Сравнение от-
ражательных свойств объекта проводилось с широтно-импульсными
модуляторами с аналогичным, т.е. экспоненциальным характером из-
менения освещенности. При широтно-импульсной модуляции осве-
щенности объекта управление процессом контроля осуществлялось
путем изменения числа импульсов световых потоков за определен-
ный интервал (период) времени, а при кодо-импульсной модуляции —
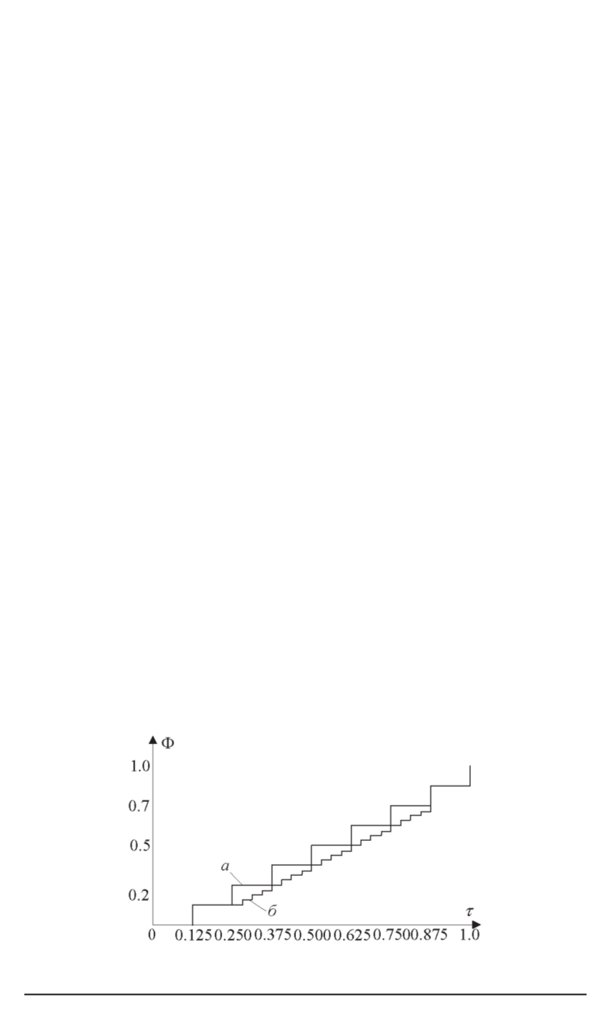
дополнительно и путем изменения вида кода (см. рис. 16). Нетрудно
видеть, что управляющий сигнал при кодо-импульсной модуляции и
заданных параметрах относительной освещенности
τ
и периоде по-
вторения световых импульсных последовательностей
Т
к
будет иметь
несколько вариантов в зависимости от взаимного расположения све-
товых импульсов внутри периода сигнала. Для реальных модуляторов
величина показателя
β
1
, может колебаться в широких пределах. Необ-
ходимо найти диапазон значений
β
1
, при которых характеристика от-
ражательной способности модулятора вместе с объектом будет иметь
вид, аналогичный широтно-импульсному модулятору, но с большей
чувствительностью (рис. 17). Значение
β
1
, при котором получается
наибольшая плавность характеристики модулятора по отражательной
Рис. 17. Световой поток при широтно-импульсной (
а
) и кодо-импульсной (
б
)
модуляции
36 ISSN 0236-3933. Вестник МГТУ им. Н.Э. Баумана. Сер. “Приборостроение”. 2007. № 2
1...,11,12,13,14,15,16,17,18,19,20 22,23,24,25,26,27,28,29,30,31,...32
Powered by FlippingBook