Метод построения системы памяти для хранения и поиска многомерных пространственно-временных последовательностей - page 12

Если максимальное значение представлено лишь в одной паре
{
S
i
, v
i
}
, то результатом поиска и будет последовательность
S
i
; если
такихзначений несколько, то результатом поиска будет ответ “не-
обходимы дополнительные данные”. Если таблица содержит только
нулевые значения, это означает заметную непохожесть запроса
Q
на
сохраненные последовательности и приведет к ответу “
null
” поиско-
вой процедуры.
Таким образом, описанная система построения хаотического про-
цессора на основе
R
-деревьев и с использованием описанной метри-
ки позволяет сохранять последовательности и искать похожие после-
довательности по заданным подпоследовательностям. Теоретические
оценки производительности работы предлагаемого хаотического про-
цессора во многом совпадают с характеристиками работы используе-
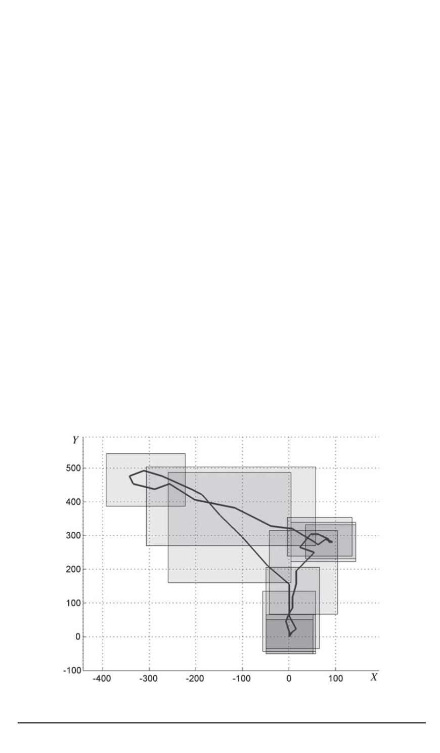
мой структуры многомерного индексирования. На рис. 2 показан при-
мер проекции на плоскость
XY
покрытия последовательности дву-
мерныхточек набором прямоугольников.
Приведем эмпирические оценки производительности и ресурсоем-
кости такой поисковой системы.
Оценка ресурсоемкости и производительности хаотического
процессора.
Для оценки общей эффективности работы хаотическо-
го процессора сравним показатели объема занимаемой памяти и вре-
мени выполнения операций сохранения и поиска. В качестве приме-
ра используемыхданныхвозьмем последовательности австралийского
языка глухонемых. Первый набор испытаний показывает зависимость
Рис. 2. Пример проекции на плоскость
XY
покрытия последовательности дву-
мерных точек набором прямоугольников
ISSN 0236-3933. Вестник МГТУ им. Н.Э. Баумана. Сер. “Приборостроение”. 2007. № 2 115
1...,2,3,4,5,6,7,8,9,10,11 13,14,15,16
Powered by FlippingBook