Лазерная локация взволнованной морской поверхности на настильных трассах в условиях покрытия моря пеной - page 8

где
δ
= 2
γ
2
y
γ
2
x
1
;
G
m,n
p,q
z
a
1
,...,a
p
b
1
,...,b
q
функция Мейера
.
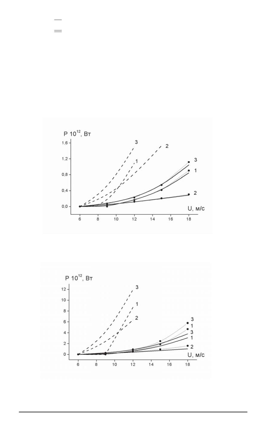
На рис
. 3, 4
показано
,
как изменяется величина принимаемой мощ
-
ности
P
= (1
C
п
)
P
м
+
C
п
P
п
в зависимости от скорости ветра
U
.
Расчеты проводились при моностатическом зондировании для моделей
пены
,
приведенных в таблице
,
при следующих значениях параметров
:
V
2
= 0
,
02
;
A
= 0
,
5
;
P
o
= 1
Вт
;
α
и
= 0
,
5
мрад
;
α
п
= 1
мрад
.
В диапазоне скоростей приводного ветра
,
для которого проведены
расчеты
(6–18
м
/
с
),
среднеквадратическое значение наклонов морской
Рис
. 3.
Графики зависимости принимаемой мощности от скорости ветра при
θ
= 89
,
L
= 10
км
:
сплошные линии
расчет по формулам
(7), (8), (11),
расчет по формулам
(5),
(6),
штриховые линии
расчеты без учета затенений
;
цифры у кривых соответству
-
ют номеру модели пены в таблице
Рис
. 4.
Графики зависимости принимаемой мощности от скорости ветра при
θ
= 89
,
5
,
L
= 5
км
:
сплошные линии
расчет по формулам
(7), (8), (11),
расчет по формулам
(5),
(6),
штриховые линии
расчеты без учета затенений
;
цифры у кривых соответству
-
ют номеру модели пены в таблице
ISSN 0236-3933.
Вестник МГТУ им
.
Н
.
Э
.
Баумана
.
Сер
. “
Приборостроение
”. 2005.
3 21
1,2,3,4,5,6,7 9,10,11
Powered by FlippingBook