Расчет лазерных систем переменного увеличения - page 14

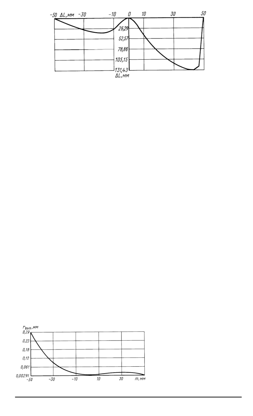
Рис
. 5.
График зависимости величины
L
смещения плоскости предмета от ве
-
личины
m
смещения компонентов
компонентов
:
f
1
=
4
,
1509
мм
,
f
2
= 110
,
5262
мм
,
f
3
= 103
,
9269
мм
,
f
4
= 55
,
2231
мм
.
Расстояния
d
i
между задним фокусом
i
-
го и перед
-
ним фокусом
(
i
+ 1)
-
го компонента в начальном положении
:
d
1
=
=
43
,
1114
мм
,
d
2
=
138
,
0820
мм
,
d
3
=
104
,
1500
мм
.
Световые диа
-
метры и диафрагменные числа компонентов
(
при расчете для лазерного
пучка с длиной волны лазера
λ
= 1
,
0641
мкм
,
имеющего параметр кон
-
фокальности
Z
к
= 200
мм
,
сечение перетяжки которого расположено
на расстоянии
15
,
2010
мм относительно первого компонента в началь
-
ном положении
):
D
1
= 0
,
584
мм
,
D
2
= 12
,
23
мм
,
D
3
= 17
,
653
мм
,
D
4
= 12
,
113
мм
,
K
1
= 7
,
106
,
K
2
= 9
,
031
,
K
3
= 5
,
887
,
K
4
= 4
,
559
.
Линейное увеличение в начальном положении
:
β
0
=
0
,
0265
x
.
Рас
-
стояние от совмещенных главных плоскостей первого компонента до
плоскости предмета в начальном положении
171,4649
мм
.
Максималь
-
ное смещение плоскости предмета
–131,4327
мм
.
Расстояние от со
-
вмещенных главных плоскостей последнего компонента до плоскости
изображения
38,2005
мм
.
Диапазон изменения линейного увеличения
:
β
min
=
0
,
01
x
,
β
max
=
1
x
при
M
= 100
.
Длина панкратической
системы
:
минимальная
— 102,968
мм
,
максимальная
— 176,302
мм
,
при
m
= 0
— 139,635
мм
;
полная длина системы
:
минимальная
107,968
мм
,
максимальная
— 281,302
мм
,
при
m
= 0
— 194,635
мм
.
На рис
. 6
представлен график зависимости радиуса выходящего
пучка от величины смещения компонентов при условии
,
что на вход
Рис
. 6.
График зависимости ра
-
диуса
r
вых
выходящего пучка в
плоскости изображения
P
0
от
величины
m
смещения компо
-
нентов
16 ISSN 0236-3933.
Вестник МГТУ им
.
Н
.
Э
.
Баумана
.
Сер
. "
Приборостроение
". 2004.
1
1...,4,5,6,7,8,9,10,11,12,13 15,16
Powered by FlippingBook