Пути преодоления баннерной слепоты в ВЕБ-интерфейсах - page 8

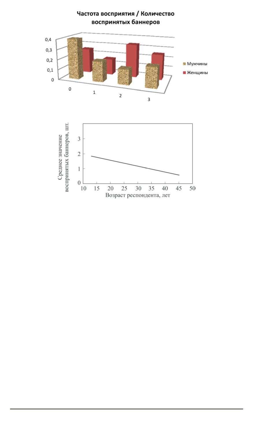
Рис. 3. Восприятие рекламных баннеров мужчинами и женщинами
Рис. 4. Зависимость баннерной слепоты от возраста респондента
3. Для сайтов с текстовым контентом наибольшую эффективность
можно получить при расположении баннера в левой верхней части и
правой нижней части веб-страницы. Далее следует располагать рекла-
му в правой верхней и левой нижней частях веб-страницы.
В целом, для повышения эффективности баннерной рекламы не-
обходимо регулярно обновлять изображение баннера и контекстную
информацию о пользователе для уменьшения возможности появления
привычки у пользователей и создания условий для формирования бан-
нерной слепоты.
ЛИТЕРАТУРА
1.
Тартон Г.
Второе дыхание баннерной рекламы // Маркетинг в России и за
рубежом. 2012. № 6. С. 93–96.
2.
Digital
to account for one in five ad dollars [Электронный ресурс] —
Режим доступа:
-
Dollars/1009592 (дата обращения 13.01.2014).
3.
Евдокимова В.Е.
Создание рекламного баннера // Информатика и образование.
2010. № 5. С. 62–64.
4.
Поникаровская Т.Н.
Структурные особенности статичных и анимированных
веб-баннеров // Вестник Северного (Арктического) федерального университета.
Сер. Гуманитарные и социальные науки. 2011. № 5. С. 82–86.
ISSN 0236-3933. Вестник МГТУ им. Н.Э. Баумана. Сер. “Приборостроение”. 2014. № 4 77
1,2,3,4,5,6,7 9,10
Powered by FlippingBook