Алгоритм оценки интерференционных искажений при приеме OFDM-сигналов в условиях многолучевых каналов с замираниями - page 8

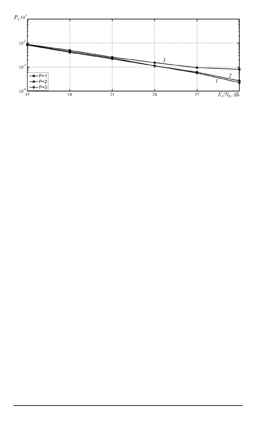
Рис. 2. Экспериментальные оценки зависимостей вероятности битовой ошибки
от ОСШ на 1 бит передаваемой информации при разном числе символов, ис-
пользуемых для интерполяции:
кривая
1
P
= 1
символ; кривая
2
P
= 2
символа; кривая
3
P
= 3
символа
Далее рассмотрим влияние числа отсчетов, используемых для ин-
терполяции, на рабочие характеристики системы. На рис. 2 приведены
экспериментальные оценки зависимостей вероятности битовой ошиб-
ки от ОСШ на 1 бит передаваемой информации при значениях
P
,
равных 1, 2 и 3 символам, модуляции ФМ4 и максимальном относи-
тельном допплеровском сдвиге в канале
f
д max
T
= 0
,
2
.
На рис. 2 видно, что переход от
P
= 1
к
P
= 2
позволяет повысить
рабочие характеристики системы при увеличении объема вычислений.
Дальнейшее увеличение числа символов, используемых для оценки,
не дает существенного выигрыша в вероятности ошибки, и, таким
образом, нецелесообразно.
Выводы.
Предложенный в работе алгоритм позволяет с высокой
точностью оценить искажения OFDM-сигнала, связанные с МКИ, при
сравнительно невысоких вычислительных затратах. При моделирова-
нии алгоритма не были учтены ошибки оценки векторов
a
0
(
m, l
)
, а
также ошибки при демодуляции, влияние которых является предметом
дальнейших исследований. В частности, интерес представляет функ-
ционирование предложенного алгоритма совместно с оцениванием ЧХ
канала с помощью фильтра Калмана [3] и демодуляцией поднесущих,
основанное на QR-разложении матрицы
˜
A
(
m
)
[1].
СПИСОК ЛИТЕРАТУРЫ
1. H i j a z i H., R o s L. OFDM high speed channel complex gains estimation
using Kalman filter and QR-detector // IEEE International Symposium on Wireless
Communication Systems. – 2008. – P. 26–30.
2. C h e n g T a o, J i a h u i Q i u, L i u L i u. A novel OFDM channel estimation
algorithm with ICI mitigation over fast fading channels // Radioengineering. – Vol. 19.
No. 2, June 2010.
ISSN 0236-3933. Вестник МГТУ им. Н.Э. Баумана. Сер. “Приборостроение”. 2011. № 4 99
1,2,3,4,5,6,7 9
Powered by FlippingBook