Цифровые системы синхронизации с перестраиваемыми параметрами - page 5

Из рис. 4 и 5 видно, что характеристики совпадают при больших
значениях ОСШ и расходятся при малых значениях, причем каждая
кривая имеет достаточно длинный линейный участок. Далее рассмо-
трим принцип изменения
N
рег
.
В системе есть два конкурирующих параметра: один из них умень-
шает размерность накопителя
N
рег
, другой — увеличивает.
Первым параметром является регулирование. Если регулирование
происходит относительно часто, т.е.
T
рег
относительно мало, то можно
уменьшить
N
рег
, так как ОСШ на входе велико.
Второй параметр — среднее число перемен полярности
N
пп
во взя-
тых отсчетах за время
T
рег
, т.е. до момента регулирования. Его можно
сравнивать с суммой импульсов
N
рег
.
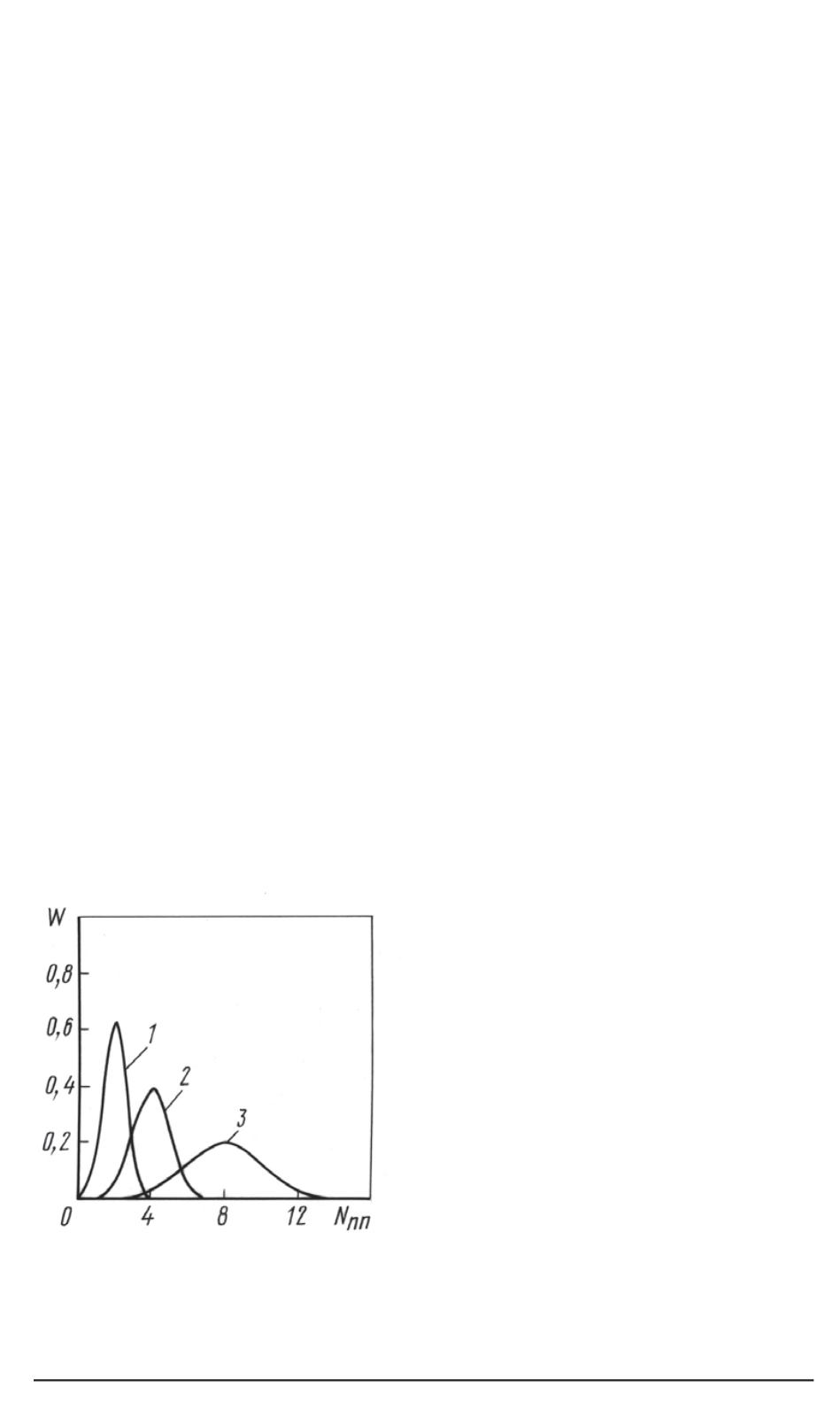
Например, рассмотрим на графиках участок
(
15
. . .
0)
дБ — раз-
ным значениям
N
рег
соответствуют одинаковые
N
пп
и
D
пп
. ПРВ
W
(
N
пп
)
для
N
рег
= 4
условно изображено на рис. 6 кривой
1
. Если
N
пп
часто пересекает порог
N
рег
, то следует увеличить
N
рег
, так как
ОСШ на входе мало. Из рис. 6 видно, что
W
(
N
пп
)
не изменилось,
а порог увеличился, тогда вероятность его превышения падает, и
скорость роста
N
рег
уменьшается.
Отрицательным является тот факт, что при малых ОСШ растет не
только
N
пп
, но и
D
пп
, причем появляется зона насыщения, поэтому
линейный участок уменьшается и точная настройка
N
рег
затруднена.
На рис. 6 кривыми
2
и
3
условно показаны
W
(
N
пп
)
при малом ОСШ
на входе.
Построение системы.
Система по сравнению с первоначальным
вариантом системы Кессны–Леви [3] претерпела изменения, однако
Рис. 6. ПРВ
W
(
N
пп
)
при разных зна-
чениях
q
:
кривые
1
,
2
и
3
для
N
рег
= 4
,
8
и
6
со-
ответственно
принцип ее действия не изменил-
ся и работа происходит на частоте
опорного сигнала без каких-либо
дополнительных задержек (рис. 7).
Система работает следующим
образом. Как и раньше, счетчик
CT1 суммирует положительные и
отрицательные импульсы, поступа-
ющие с детектора, однако, если
раньше он регулировал и сбрасы-
вал показания после определенно-
го достаточного числа накоплен-
ных импульсов, то теперь это чи-
сло зависит от конструкции нако-
пителя и ОСШ на входе. Текущее
52 ISSN 0236-3933. Вестник МГТУ им. Н.Э. Баумана. Сер. “Приборостроение”. 2008. № 1
1,2,3,4 6,7,8,9,10
Powered by FlippingBook