Исследование методов обратимого сжатия телеметрической информации - page 5

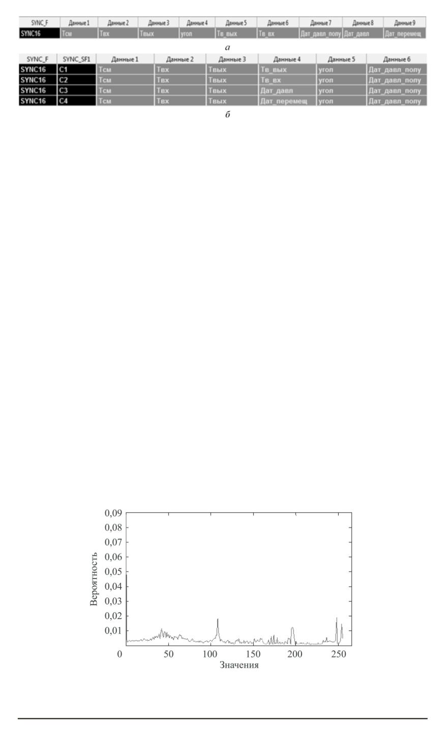
Рис. 3. Структуры кадра телеметрической информации при одно- (
а
) и двухсту-
пенчатой (
б
) схемах коммутации
тура кадра может быль получена при одноступенчатой схеме комму-
тации каналов с единственным (основным) коммутатором.
Второй вариант кадра имеет более сложную структуру, получен-
ную с помощью двухступенчатой схемы коммутации. На рис. 3,
б
пред-
ставлены четыре последовательно передаваемых кадра IRIG-106. В че-
твертом канале основного коммутатора передаются значения каналов
коммутатора второй ступени. Таким образом, полный цикл опроса
всех параметров занимает четыре кадра основного коммутатора. За
этот цикл каналы основного коммутатора опрашиваются четыре раза.
Разрядность телеметрических слов кадра составляет 8 бит, в кото-
рых сохраняется один квантованный отсчет сигнала датчика, приве-
денный к шкале 0–255.
Пример гистограммы распределения значений телеметрических
слов в исследуемых потоках телеметрической информации приведен
на рис. 4. Согласно этой гистограмме, значения распределены по всей
шкале. Гистограмма имеет несколько выраженных пиков, типичных
для телеметрической информации, в которой контролируемые пара-
метры долгое время сохраняют значения, близкие к постоянным, и
немного отклоняются от них под воздействием шумов.
Результаты исследований алгоритма декорреляции на основе ре-
грессионной модели в комбинации с несколькими методами энтро-
Рис. 4. Гистограмма распределения значений телеметрических слов в исследу-
емых потоках телеметрической информации
96 ISSN 0236-3933. Вестник МГТУ им. Н.Э. Баумана. Сер. “Приборостроение”. 2014. № 3
1,2,3,4 6,7,8,9,10,11,12,13
Powered by FlippingBook