Исследование методов обратимого сжатия телеметрической информации - page 8

В рассмотренном методе декорреляции на основе линейного пред-
сказания на вход декоррелятора передавались телеметрические слова
в порядке их следования в потоке телеметрической информации. Мож-
но предположить, что между отсчетами одного и того же параметра
в соседних кадрах существуют сильные корреляционные зависимо-
сти, а между соседними словами в потоке телеметрической инфор-
мации такие зависимости отсутствуют. Повышение порядка фильтра
для выявления указанных зависимостей приводит к увеличению слож-
ности вычислений. Это хорошо работает для одноступенчатой схемы
коммутации, но в более сложной структуре с двухступенчатой схе-
мой коммутации такой прямолинейный подход неэффективен. Деком-
мутация каналов кадра и применение методов линейного предсказа-
ния к каждому каналу не упрощает вычисления, при этом согласно
результатам экспериментов позволяет улучшить характеристики де-
коррелятора. Следует отметить, что использование фильтров первого
порядка для предсказания значений каждого канала достаточно эффек-
тивно. Дальнейшее увеличение порядка фильтра предсказателя снижа-
ет оценку энтропии несущественно. Поэтому в качестве альтернативы
методу декорреляции, основанному на линейном предсказании, можно
предложить более простой метод снижения корреляционных зависи-
мостей соседних кадров в потоке телеметрической информации. Для
пары телеметрических слов, расположенных на одинаковых позициях
в соседних кадрах, выполняется побитовая операция “исключающее
или”. Результат операции передается на вход энтропийного кодера.
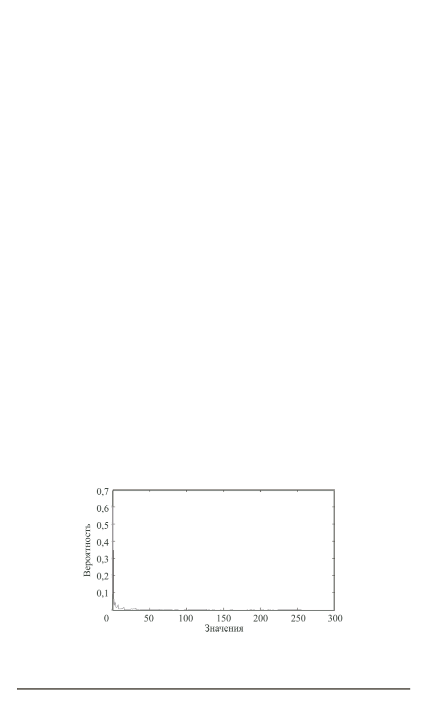
Экспериментально полученная гистограмма распределения значений
ошибки на выходе построенного по этому принципу декоррелятора
представлена на рис. 7.
Основные экспериментально полученные результаты, позволяю-
щие провести сравнительную оценку эффективности трех различных
методов декорреляции, приведены в табл. 1. Два метода, с которыми
Рис. 7. Экспериментально полученная гистограмма распределения значений
ошибки на выходе метода декорреляции с помощью операции “исключающее
или”
ISSN 0236-3933. Вестник МГТУ им. Н.Э. Баумана. Сер. “Приборостроение”. 2014. № 3 99
1,2,3,4,5,6,7 9,10,11,12,13
Powered by FlippingBook