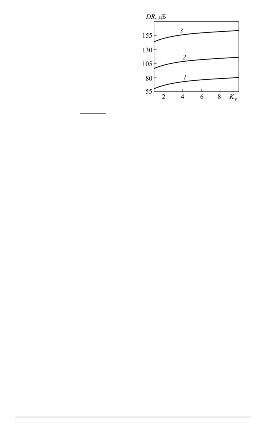
Рис. 7. Зависимость динамического диа-
пазона преобразователя от коэффициен-
та предварительного усиления для 10-
(
1
), 16- (
2
), и 24-разрядного (
3
) преобра-
зователя
Для 10-разрядного преобра-
зователя значение динамическо-
го диапазона составляет 60,2 дБ.
Однако возможно предваритель-
ное усиление сигнала за счет
весовых коэффициентов перво-
го однослойного персептрона
в многокаскадной структуре. В
этом случае приведенное выше
выражение преобразуется к ви-
ду
DR
= 20 lg
K
y
U
max
Δ
=
= 20 lg
K
y
2
k
, где
K
y
— коэф-
фициент предварительного уси-
ления входного сигнала.
Расширение динамического диапазона, достигаемое путем предва-
рительного усиления сигнала для 10-, 16- и 24-разрядных структур,
показано на рис. 7. Таким образом, при
K
y
= 10
динамический диапа-
зон
k
-разрядного преобразователя увеличивается примерно на 20 дБ.
Динамический диапазон 24-разрядного АЦП AD7730 составляет
примерно 162 дБ. Это значение соответствует 24-разрядному нейро-
сетевому преобразователю рассмотренной многокаскадной структуры
(см. рис. 1) при
K
y
= 8
. Однако для реализации нелинейного пре-
образования с помощью АЦП на основе “жесткой” логики необходим
цифровой сигнальный процессор, который не потребуется при реали-
зации нелинейного преобразования на ПАИС.
Заключение.
1. Осуществлен выбор нейросетевой структуры пре-
образователя напряжения в цифровой код для ее последующей реали-
зации на ПАИС.
2. Разработана функциональная схема нейросетевого преобразова-
теля напряжения в цифровой код для ПАИС.
3. Проведено обучение нейросетевого преобразователя напряжения
в цифровой код для его реализации на ПАИС.
4. Создан проект нейросетевого преобразователя напряжения в ци-
фровой код на базе трех микросхем ПАИС.
5. Проведено моделирование работы нейросетевого преобразова-
теля напряжения в цифровой код на базе ПАИС.
Работа выполнена при финансовой поддержке РФФИ РАН.
ЛИТЕРАТУРА
1.
Tank D.W.
,
Hopfield J.J.
Simple “neural” optimization networks: an A/D converter,
signal decision circuit and a linear programming circuit // IEEE Circuit and Systems.
1986. Vol. CAS-33. P. 533–541.
ISSN 0236-3933. Вестник МГТУ им. Н.Э. Баумана. Сер. “Приборостроение”. 2015. № 1 31




