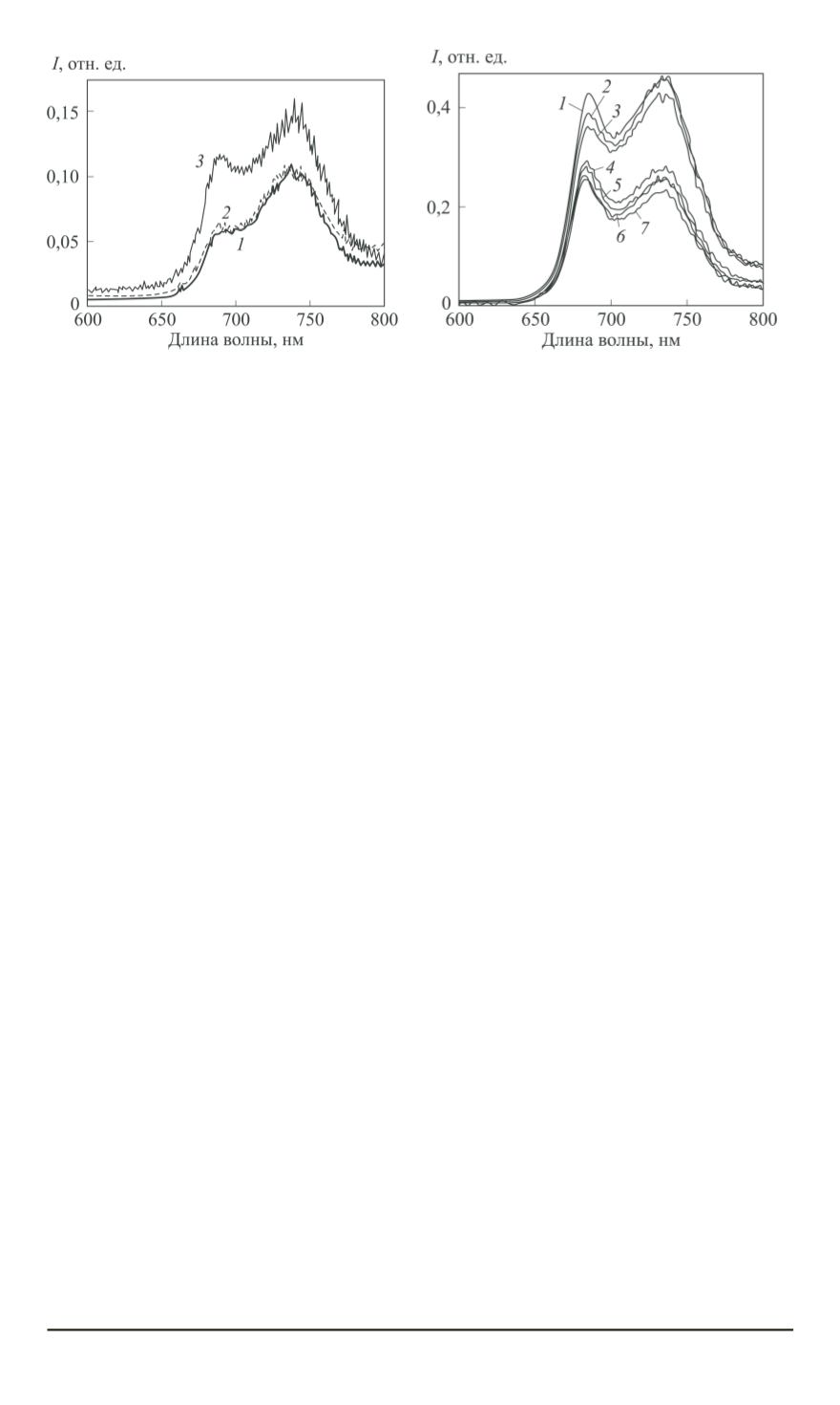
Рис. 3. Спектры флуоресценции тра-
вы в стрессовом состоянии, вызван-
ном внесением в почву медного купо-
роса
Рис. 4.
Спектры флуоресценции
кресс-салата в стрессовом состо-
янии,
вызванном механическим
повреждением растения
ных внесением в почву медного купороса CuSO
4
(5 г, разбавленные в
200 мл воды, на 3 горшка с травой размерами
9
×
9
×
10
см).
Кривая
1
соответствует измерению спектра лазерно-индуцирован-
ной флуоресценции через месяц после первых всходов травы, а кривая
2
— еще через две недели непосредственно перед внесением в почву
загрязнителя. Кривая
3
соответствуют спектру флуоресценции травы в
стрессовом состоянии, измеренному через две недели после внесения
в почву медного купороса.
Из рис. 3 следует, что влияние стрессового фактора (в данном слу-
чае вызванного внесением в почву медного купороса) может про-
являться в изменении уровня флуоресценции. При этом форма спектра
флуоресценции меняется мало.
Этот эффект понятен, так как первая фаза стресса растений —
первичная индуктивная стрессовая реакция [24]. Для этой стадии ха-
рактерно уменьшение интенсивности фотосинтеза, что сопровождает-
ся существенным увеличением интенсивности флуоресценции хлоро-
филла. Возрастание квантового выхода флуоресценции в этом случае
обусловлено уменьшением эффективности первичных процессов фо-
тосинтеза – поглощенная световая энергия не используется в фотосин-
тезе, поэтому интенсивность флуоресценции возрастает.
Рис. 4 иллюстрирует другой характер изменения спектров флуо-
ресценции растений в стрессовом состоянии. На рис. 4 приведены
спектры лазерно-индуцированной флуоресценции кресс-салата в нор-
мальном (кривые
1. . . 3
) и стрессовом (кривые
4. . . 7
) состояниях, вы-
званных механическим повреждением растения — примятием салата.
Разные кривые соответствуют разным измерениям по времени (до ме-
ханического повреждения и в интервале времени от 20 до 40 мин после
механического повреждения).
76 ISSN 0236-3933. Вестник МГТУ им. Н.Э. Баумана. Сер. “Приборостроение”. 2015. № 2




