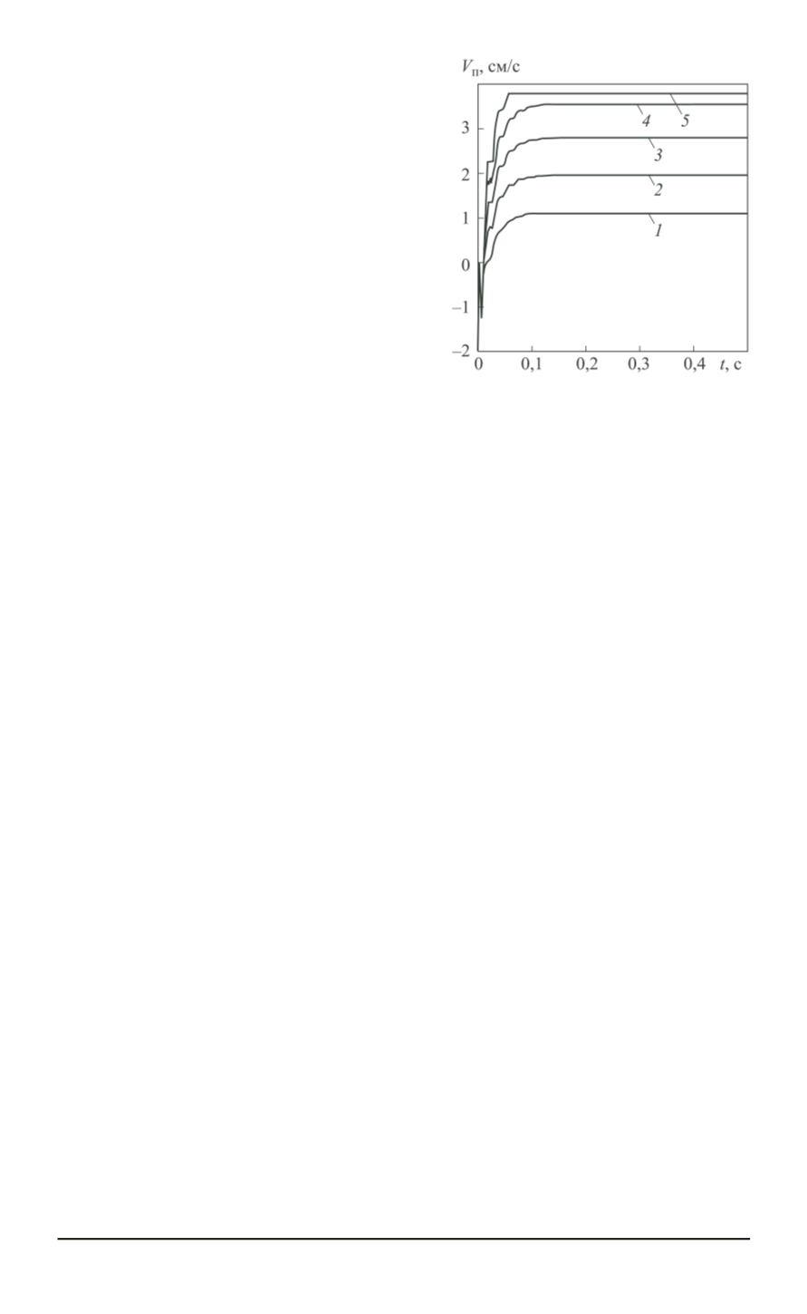
Рис. 2. Переходные процессы ско-
рости РМ при постоянно действу-
ющей нагрузке на штоке 1000 Н и
значениях командного тока
I
к
= 4
(
1
), 6 (
2
), 8 (
3
), 10 (
4
) и 12 (
5
) мА
на численном интегрировании не-
линейных дифференциальных урав-
нений математических моделей РМ,
сдерживались низким уровнем бы-
стродействия вычислительной тех-
ники.
Стремительное развитие вычисли-
тельной техники и совершенство-
вание ее характеристик (в част-
ности, возрастание уровня быстро-
действия компьютеров) в последние
годы позволяют переориентировать
методы расчета статических характе-
ристик РМ с итерационных на мето-
ды, основанные на численном инте-
грировании дифференциальных урав-
нений динамических математических
моделей РМ. Таким образом, в насто-
ящей работе поставлена задача разработки и исследования работоспо-
собности новых методов, основанных на интегрировании дифферен-
циальных уравнений математической модели для расчетов скоростных
и силовых (моментных) характеристик автономных электрогидравли-
ческих РМ с изменяемыми структурами в процессе работы. При этом
под работоспособностью методов понимается их способность в соот-
ветствии с предлагаемым алгоритмом вычислять статические харак-
теристики автономных электрогидравлических РМ.
Описание методов статического анализа.
Суть разработанных
и предлагаемых методов заключается в следующем. При каждом фик-
сированном значении входного командного сигнала процессы числен-
ного интегрирования системы нелинейных дифференциальных урав-
нений математической модели РМ продолжаются до тех пор, пока
среднее значение линейной (угловой) скорости выходного органа РМ
при расчете скоростной характеристики или усилия (момента) раз-
виваемого выходным органом РМ при расчете силовой (моментной)
характеристики, не станет постоянным.
Алгоритмы таких методов имеют два основных цикла: 1) по вход-
ному командному сигналу; 2) по времени. При расчете силовой (мо-
ментной) характеристики РМ анализируемым параметром является
средний перепад давлений на поршне силового гидроцилиндра РМ
Δ
p
c
, а при расчете скоростной характеристики РМ — средняя линей-
ная (или угловая) скорость движения ее выходного органа
V
c
.
По аналогии с методами расчета частотных характеристик дина-
мических объектов и следящих систем управления [7, 8], чтобы сни-
зить влияние переходных процессов на результаты расчетов, наиболее
ISSN 0236-3933. Вестник МГТУ им. Н.Э. Баумана. Сер. “Приборостроение”. 2015. № 5 21




