Тогда получим (17) в следующем окончательном виде:
ω
1
,
2
= 1 +
|
m
|
2
−
1
ω
0
1
±
q
|
β
|
2
− |
m
|
2
1
− |
β
|
2
.
(19)
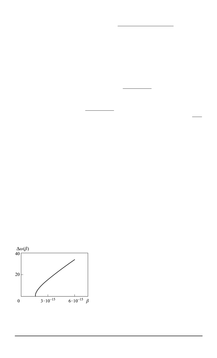
Частотная характеристика КР. Структура его мод.
Частотная
характеристика КР есть функциональная зависимость разности соб-
ственных частот резонатора с обратным рассеянием от угловой ско-
рости вращения КР. Из (18) следует, что частотная характеристика
такова (ввиду малости как
β
, так и коэффициента
m
, можно сделать
некоторые приближения):
ω
1
,
2
(
β
)
−
ω
0
=
±
ω
0
q
|
β
|
2
− |
m
|
2
.
(20)
График частотной характеристики приведен на рис. 1, где
Δ
ω
(
β
) =
=
ω
1
(
β
)
−
ω
2
(
β
) = 2
ω
0
q
|
β
|
2
− |
m
|
2
в силу (19). Параметр
β
З
=
Ω
З
r
c
0
соответствует скорости вращения Земли
Ω
З
. Зависимость
Δ
ω
(
β
)
ка-
чественно такая же, как и у частотной характеристики ЛГ (гиперболи-
ческий вид, наличие зоны нечувствительности). Однако для ЛГ харак-
терным является “затягивание” частот, соответствующих встречным
волнам. Зона нечувствительности (зона захвата) — это область столь
малых скоростей вращения, в которой частоты указанных генераторов
равны (полная синхронизация). Для рассматриваемого случая КР ситу-
ация иная. Собственные частоты неподвижного резонатора с обратным
рассеянием всегда одинаковы (спектр соответствующей задачи выро-
жден). Если такой КР вращается, то вращение может рассматриваться
как возмущение. Как известно из теории возмущений [10], малые воз-
мущения могут не снять вырождение (так возникает зона захвата), но
при больших возмущениях спектр расщепляется (это область гипер-
болической зависимости) (см. рис. 1).
Поскольку КР есть линейная часть ЛГ как в физическом смысле,
так и в отношении математической модели, то справедливо считать,
Рис. 1. Частотная характерис-
тика вращающегося КР с отра-
жением
что их частотные характеристики сопо-
ставимы: одна из них есть линейное при-
ближение другой. Подобное же толкова-
ние можно усмотреть и в теории связан-
ных автогенераторов [11].
Представляет определенный интерес
характер собственных типов колебаний
вращающегося КР с обратным рассея-
нием. Если рассеяния нет, то каждой
из собственных частот соответствует бе-
гущая волна этой же частоты. Вол-
на, распространяющаяся по направле-
нию вращения, соответствует меньшей
98 ISSN 0236-3933. Вестник МГТУ им. Н.Э. Баумана. Сер. “Приборостроение”. 2016. № 2




